Автор |
Сообщение |
ARSENAL Форумчанин
|
|
Сабж. Силы иссякли в самостоятельной борьбе с этим устройством, весь адсл облазил все примеры настройки были на В5, вроде, что такого, то, что В6, а нееееет, ничего не получаеться нету таких настроек как разбирали примеры.
Вообщем решил добавить в 3ий порт адсл модема настроен (рррое), Вай файку, всё окэ все лампочки горят, с нет бука подрубаюсь, но без интрнета подключение пишет, 192.168.0.1 ворвался туды, и тут я уже больше 2 часов бьюсь... Вообщем кто может помочь, в рускоязычном интерфейсе настроить раздачу вай фая... Я просто принцеп не могу понять, что нужно прописать\изменить в настройках дира, что бы раздача инета пошла |
|
 |
|
 |
k0stE Гуру
|
|
ARSENAL писал(а): |
Вообщем решил добавить в 3ий порт адсл модема настроен (рррое), Вай файку, всё окэ все лампочки горят, с нет бука подрубаюсь, но без интрнета подключение пишет, 192.168.0.1 ворвался туды, и тут я уже больше 2 часов бьюсь... Вообщем кто может помочь, в рускоязычном интерфейсе настроить раздачу вай фая... Я просто принцеп не могу понять, что нужно прописать\изменить в настройках дира, что бы раздача инета пошла |
Если у тебя в голове это звучит так же, то коммьюнити бессильно в данном вопросе. |
|
 |
|
 |
ARSENAL Форумчанин
|
|
k0stE
Хотелось бы увидеть по теме ответ, вроде все предельно ясно написал. Модем роутер, подключая вафлю, нету инета, В6, иначе насстрайвываетья нежели предки.
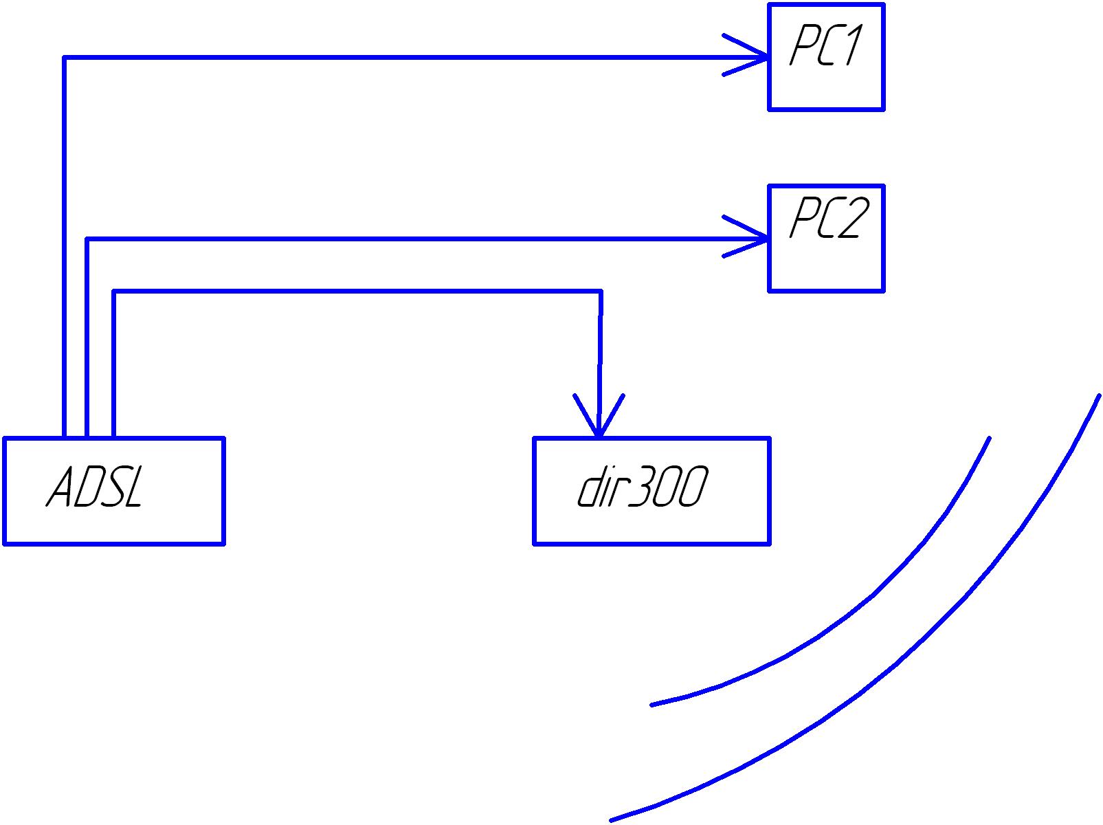
На данный момент так подключено, с такой последовательностю
Фрагмент.jpg |
Описание: |
|
Размер файла: |
91.05 KB |
Просмотрено: |
349 раз(а) |

|
|
|
 |
|
 |
Shub-Niggurath Geek
Предупреждений : 4
|
|
ARSENAL писал(а): |
иначе насстрайвываетья нежели предки. |
Они все настраиваются абсолютно идентично. |
|
 |
|
 |
ARSENAL Форумчанин
|
|
Shub-Niggurath
Повторюсь, смотрел я примеры настройки, там по другому сделана настройка, если кто-нибудь сможет мне помочь, то за скриню настройки...
Вообщеи сбросил опять на заводские настройки, надеюсь на вашу помощь, вот на данный момент у меня с зав. настроек имееться это, см. скрины.
18062012971.jpg |
Описание: |
Гл. менюшка |
Размер файла: |
499.18 KB |
Просмотрено: |
432 раз(а) |

|
18062012972.jpg |
Описание: |
так настроен |
Размер файла: |
745.03 KB |
Просмотрено: |
629 раз(а) |

|
18062012973.jpg |
Описание: |
|
Размер файла: |
588.11 KB |
Просмотрено: |
763 раз(а) |

|
Последний раз редактировалось: ARSENAL (Пн 18-06-12 : 11-58), всего редактировалось 3 раз(а) |
|
 |
|
 |
ARSENAL Форумчанин
|
|
дальше
18062012974.jpg |
Описание: |
|
Размер файла: |
671.26 KB |
Просмотрено: |
421 раз(а) |

|
18062012975.jpg |
Описание: |
Окончательная настройка |
Размер файла: |
635.21 KB |
Просмотрено: |
518 раз(а) |

|
18062012977.jpg |
Описание: |
Типы подключения |
Размер файла: |
726.54 KB |
Просмотрено: |
527 раз(а) |

|
|
|
 |
|
 |
ProFfeSsoRr Гуру
|
|
Модем в WAN порт, модем в режим бриджа, на д-линке потом все PPPoE настройки задаешь и все. Таков принцип настройки всех роутеров. Ну а какие конкретно кнопочки нажимать для этого сам уже ищи в прошивке, тем более раз она русская
// у него же ещё 2 компа напрямую на модеме, следовательно DIR300 нужно настроить в режим статического IP 192.168.1.100/255.255.255.0/192.168.1.1 и всё (динамический нельзя т.к. DHCP из VLANа от IPTV раздаёт левые адреса) |
|
 |
|
 |
ARSENAL Форумчанин
|
|
ProFfeSsoRr
Я в ахуе, спасибо большое тебе. Второй день вот искал решения как настроить, а тут в одну строчку) |
|
 |
|
 |
ProFfeSsoRr Гуру
|
|
Цитата: |
(динамический нельзя т.к. DHCP из VLANа от IPTV раздаёт левые адреса) |
никогда б не подумал, что у ростелекома такой ахтунг есть Буду иметь в виду  |
|
 |
|
 |
ARSENAL Форумчанин
|
|
Самое интересное, что сколько облазил адсл'ких топиков, нигде такого способа не было, все пытались настроить, что собственно выше и написали... рррое на дир настрайвывать. |
|
 |
|
 |
ARSENAL Форумчанин
|
|
Блииин, щас зашол в сет. подкл. и тут добавился Шлюз интрнета, при первых подключениях роутера, я наверняка наворотил много лишнего, вообщем кто знает, в чём дело? И как его убрать, если его отключить то линк гаснет на модеме =(
// чё он тебе мешает? это роутер опознался как UPnР-устройство
// хочешь убрать ищи где в роутере выключается UPnP и перезагружай всё
Безымянный1.JPG |
Описание: |
|
Размер файла: |
146.02 KB |
Просмотрено: |
499 раз(а) |

|
|
|
 |
|
 |
ARSENAL Форумчанин
|
|
 |
|
 |
|
Аватары: Вкл|Выкл ЮзерИнфо: Вкл|Выкл Подписи: Вкл|Выкл
|
Вы не можете начинать темы Вы не можете отвечать на сообщения Вы не можете редактировать свои сообщения Вы не можете удалять свои сообщения Вы не можете голосовать в опросах Вы не можете вкладывать файлы Вы можете скачивать файлы
|
|